詳情 |
通用名 : |
烯唑醇 |
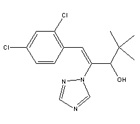
化學名 : |
(R,S)-(E)-1-(2,4-二氯苯基)-4,4-二甲基-2-(1H-1,2,4-三唑-1-基)-1-戊烯-3-醇 |
CAS No. : |
83657-24-3 |
分子式 : |
C15H17Cl2N3O |
分子量 : |
326.09 |
結構式 : |
 |
用途 : |
烯唑醇是一種高效、廣譜、低毒內吸性殺菌劑。烯唑醇屬三唑類殺菌劑,殺菌機理:在真菌的麥角甾醇生物合成中抑制14α-脫甲基化作用,引起麥角甾醇缺乏,導致真菌細胞膜不正常,最終真菌死亡。烯唑醇殺菌持效期長久,對人畜、有益昆蟲、環境安全。具有保護、治療、鏟除三重功效,對子囊菌、擔子菌引起的多種植物病害如白粉病、銹病、黑粉病、黑星病、玉米黑穗病等有特效。 |
理化性質 : |
無色晶體,熔點約134至156℃,蒸氣壓2.93mPa(20℃),4.9mPa(25℃),密度 1.32(20℃),水中溶解度4mg/L(25℃),丙酮、甲醇95,二甲苯14,己烷0.7 (g/kg,25℃),光、熱和潮濕穩定。 |
包裝 : |
25千克/紙板桶 |
制劑 : |
12.5%可濕性粉劑,10%乳油 |
|